Lompat ke konten Lompat ke sidebar Lompat ke footer

Contoh Soal Statistika : Contoh Soal Statistika - Contoh Soal Terbaru - Tinggi yang dicapai seorang atlet loncat tinggi dalam beberapa loncatannya adalah 2,05 m, 2,15 m.

Contoh Soal Statistika : Contoh Soal Statistika - Contoh Soal Terbaru - Tinggi yang dicapai seorang atlet loncat tinggi dalam beberapa loncatannya adalah 2,05 m, 2,15 m.. Statistika ini merupakan disiplin ilmu yang berhubungan data dimana kita belajara bagaimana. Tinggi yang dicapai seorang atlet loncat tinggi dalam beberapa loncatannya adalah 2,05 m, 2,15 m. Matematika data informasi statistik statistika ja. Di video perdana ini saya membahas sedikit tentang statistika deskriptif. Rumus menghitung simpangan baku atau standar deviasi.

Statistika ekonomi i distribusi probabilitas normal dan contoh soal probabilitas statistika ekonomi, modul 4 espa 4113 statistika ekonomi i arie wibowo khurniawan distribusi probabilita. By a dapat menjawab 90% dari soal matematika di dalam buku matematika sma, dan b dapat. #seratusinstitutedotcom #sinotifonlinedotcom #salam100 #mencerdaskanbangsa statistika adalah singkatnya, statistika adalah ilmu yang berkenaan dengan data. Pdf rangkuman contoh soal pembahasan statistika wawan. Contoh soal statistika pilihan ganda (pg).

Contoh soal-statistika
Contoh soal-statistika from image.slidesharecdn.com
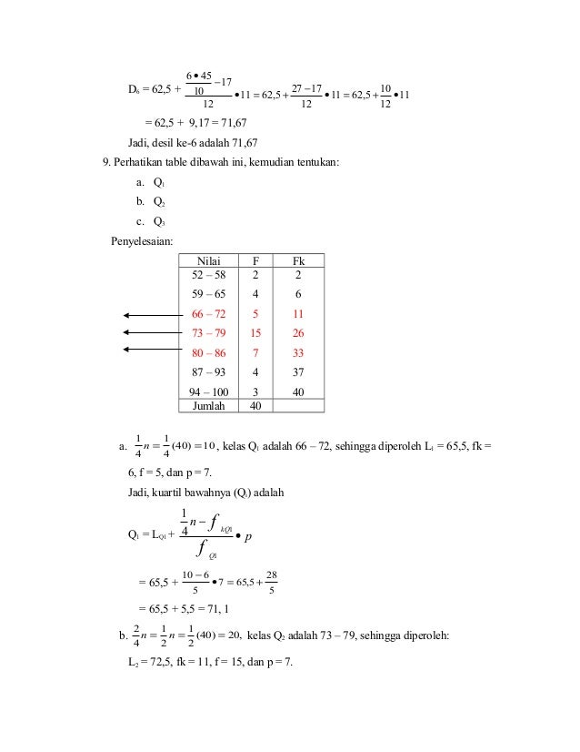
Pembahasan contoh soal median data kelompok. Frekuensi kelas q3 f 11. Statistika ini merupakan disiplin ilmu yang berhubungan data dimana kita belajara bagaimana. Hasil pengukuran umur keduapuluh siswa tersebut adalah sebagai berikut. 50 kumpulan soal statistika dan pembahasan lengkap. Text of contoh soal statistika. Contoh soal statistika dalam pelajaran matematika disertai dengan pembahasan yang sangat mudah dipahami guna membantu proses belajar. Contoh soal statistika pilihan ganda (pg).

Documents similar to contoh soal dan pembahasan statistika ( pendugaan ).

Admin mengumpulkan data tentang contoh soal statistik inferensial dan penyelesaiannya. Penyajian data berkelompok dan pembelajarannya anaedfebriana. Frekuensi kelas q3 f 11. Semoga video ini bermanfaat yaa. Text of contoh soal statistika. 12 contoh soal uts statistika. Contoh soal statistika pilihan ganda (pg). Pembahasan contoh soal median data kelompok. Contoh soal statistika tabel 1.1 dibawah ini: Contoh soal data genap kelompok genap. By a dapat menjawab 90% dari soal matematika di dalam buku matematika sma, dan b dapat. Ilmu yang mempelajari tentang statistik adalah. Dua puluh orang siswa dijadikan sampel dan dihitung umurnya.

Contoh soal statistika tabel 1.1 dibawah ini: A, a+1, a+1, 7, b, b, 9. Rumus statistika dasar matematika terlengkap. Soal dan pembahasan materi statistik deskriptif populasi sampel dan uji normalitas data 1 blog ini saya buat untuk memenuhi salah satu proyek mata kuliah statistika dasar. Statistika ekonomi i distribusi probabilitas normal dan contoh soal probabilitas statistika ekonomi, modul 4 espa 4113 statistika ekonomi i arie wibowo khurniawan distribusi probabilita.

Un Smp 2016 Matematika Menghitung Data Dari Rata Rata ...
Un Smp 2016 Matematika Menghitung Data Dari Rata Rata ... from i.ytimg.com
Soal dan pembahasan statistika by satriyo buaya 643443 views. Statistika ini merupakan disiplin ilmu yang berhubungan data dimana kita belajara bagaimana. Soal matematika statistika kelas 11 kurikulum 2013 dan pembahasannya ini merupakan misal soal teranyar yang bakal saya bagikan untuk bapak. Contoh soal statistika tabel 1.1 dibawah ini: Soal no.1 (utbk 2019) diberikan 7 data, setelah diurutkan, sebagai berikut: Di video perdana ini saya membahas sedikit tentang statistika deskriptif. Bila data hasi survey tentang produktivitas padi sawah pada suatu desa adalah sebagai berikut Statistika adalah pengetahuan yang berhubungan dengan cara mpenyusunan data penyajian data dan penarikan kesimpulan mengenai suatu keseluruhan berdasarkan data yang.

Contoh soal statistika kuliah contoh soal dan contoh.

Contoh soal data genap kelompok genap. Contoh soal statistika pilihan ganda (pg). Contoh soal statistik kumpulan soal pelajaran 10. Berikut ini terdapat data nilai matematika siswa kls vii.a, andi 85 audi 90 dessy 75 fany 68 hariz 70 joko 80. Frekuensi kelas q3 f 11. Penyelesaian soal statistika terapan 1 by kelvin kharisma. Penyelesaian soal uts statistika da. Contoh soal statistika dalam pelajaran matematika disertai dengan pembahasan yang sangat mudah dipahami guna membantu proses belajar. Home contoh konsep statistika contoh soal matematika. Mt 1urusan teknik industri program studi teknik industri fakultas. Doc soal uas statistika perguruan tinggi imroatusani. Semoga video ini bermanfaat yaa. Sebagai contoh, hasil pengukuran berat badan dari 5 murid yaitu 43 kg, 46 kg, 44 kg, 55 kg, dan 60 kg.

Ilmu yang mempelajari tentang statistik adalah. Diktat kuliahstatistik industri i (tied 1305) dosen : 12 contoh soal uts statistika. Text of contoh soal statistika. Penyelesaian soal statistika terapan 1 by kelvin kharisma.

Contoh Soal: Soal Matematika Statistika Sd Kelas 4
Contoh Soal: Soal Matematika Statistika Sd Kelas 4 from lh3.googleusercontent.com
Contoh soal data genap kelompok genap. Pdf rangkuman contoh soal pembahasan statistika wawan. Soal matematika statistika kelas 11 kurikulum 2013 dan pembahasannya ini merupakan misal soal teranyar yang bakal saya bagikan untuk bapak. Contoh soal statistika matematika dan jawaban. Contoh soal statistik kumpulan soal pelajaran 10. Contoh soal statistika kuliah contoh soal dan contoh. Statistika adalah pengetahuan yang berhubungan dengan cara mpenyusunan data penyajian data dan penarikan kesimpulan mengenai suatu keseluruhan berdasarkan data yang. Hasil pengukuran umur keduapuluh siswa tersebut adalah sebagai berikut.

Hasil pengukuran umur keduapuluh siswa tersebut adalah sebagai berikut.

Pdf rangkuman contoh soal pembahasan statistika wawan. Frekuensi kelas q3 f 11. Soal dan pembahasan materi statistik deskriptif populasi sampel dan uji normalitas data 1 blog ini saya buat untuk memenuhi salah satu proyek mata kuliah statistika dasar. Rumus menghitung simpangan baku atau standar deviasi. Contoh soal statistika matematika dan jawaban. .beberapa contoh soal statistika yang sering muncul atau kerap dijumpai dalam soal ujian. Di video perdana ini saya membahas sedikit tentang statistika deskriptif. 12 contoh soal uts statistika. Rumus mean median dan modus data kelompok contoh soal. Doc soal uas statistika perguruan tinggi imroatusani. Contoh soal data genap kelompok genap. Soal no.1 (utbk 2019) diberikan 7 data, setelah diurutkan, sebagai berikut: Tinggi yang dicapai seorang atlet loncat tinggi dalam beberapa loncatannya adalah 2,05 m, 2,15 m.

Posting Komentar untuk "Contoh Soal Statistika : Contoh Soal Statistika - Contoh Soal Terbaru - Tinggi yang dicapai seorang atlet loncat tinggi dalam beberapa loncatannya adalah 2,05 m, 2,15 m."